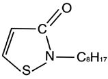
2-Octyl-4-Isothiazolin-3-One (OIT)
Chemical Name: 2-N-Octyl-4-Isothiazolin-3-One
Common name: OIT, n- Octyl-4-Isothiazolin-3-One
C.A.S. Number: 26530-20-1
Molecular formula: C11H19NOS
Molecular weight: 213.3
Structure:

Specification:
Appearance : light yellow transparent liquid
Actives : 45% ,99%
Specific Gravity : 1.01-1.05
pH : 4.0-7.0
Water : 0.1%Max
Package: 25kg or 50kg or 200kg plastic drums
The Last: 5-Chloro-2-Methyl-4-Isothiazolin-3-One/ The Next:4,5-Dichloro-2-Octyl-4-Isothiazolin-3-One (DCOIT) 【BACK】
