UV-765
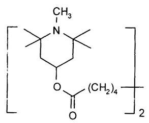
Chemical name : Bis(1,2,2,6,6-pentamethyl-4-piperidy)sebacate + methyl 1,2,2,6,6-pen- tamethyl-4-piperidyl sebacate
Introduction : UV-765 liquid hindered amine light stabilizer which is widely used to improve the weatherability of a variety of polymers. UV-765 is a highly effective effective used for a wide range of polymers and applications including polyurethanes, sealants, adhesives, elastomers, unsaturated polyesters, acrylics, vinyl polymers(PVB,PVC).
Empirical Formula : C30H56N2O4
CAS NO : 41556-26-7
Structure :

Volatility Pure substance; TGA, heating rate 20 °C /min in air
|
Weight Loss (%)
|
Temperature °C
|
|
1.0
|
225
|
|
2.0
|
250
|
|
5.0
|
275
|
Solubility At 20 °C (g/100ml solvent)
|
Solvent
|
Solubility
|
|
Acetone
|
50%
|
| Chloroform |
50%
|
|
Cyclohexane
|
50%
|
| Ethanole |
50%
|
| Ethyl Acetate |
50%
|
|
n-Hexane
|
50%
|
|
Methanole
|
50%
|
|
Toluene
|
50%
|
| Methylene Chloride |
50%
|
| Water |
<0.01%
|
